勝利の最高の壁紙無料ABHD

Han G 2

28th Iaea Fusion Energy Conference Fec 10 15 May 21 New Understanding Of Multi Scale Multi Field Pedestal Turbulence Transport And Gradient Behavior During Type I Elms On The Diii D Tokamak Indico For Iaea Conferences

Sfb Fonts

P

Familia De Letras By Andy Vila Issuu

Hri Winter School 15 Allahabad Interferometry In The Quantum Hall Effect Regime Lecture 2 Quantum Electronics Tools Exercises Go Over Equations Naive Ppt Download

Spanish Accent Marks The Ultimate Guide

If you don't, your new dictionaries won't be recognized (eg it will use only LocalSpellingWords) Another possible cause of problems is that you did not place the dictionaries in the ''active'' "MoinMoin" package directory, ie the one that is actually imported by your CGI script PK z“qB¬ €³BB 2## Please edit system and help pages.

Han g 2. ŠB ( AH C€ ©¹“C HÁTdš‰I%vg)¨«²áÓ¦ 8 ØV>Þ& X‰ ª¢¯·t¼‰VMÎ%2>Ç F¸àäTµeËoS¢59¤ª¹;;(¯_ÄrfWFÈqÎ qê*ZÒæ”ê^£ƒß· 5ä ¶y 3î‹h sÎió$´Ü~ÊS›Rw ¶ó"‘!BÓ 6à7¸Î ¤äýÛܤ(Âõœyív¿BG• ‰‰ ùö ¼óïR¢ìô5 h)ÆÒ¾¶vïæHBnÚp ½8' ØÝ¨óYîÿ X*³çu. The_Coral_Island`qŠS`qŠTBOOKMOBI ‹ E xì 7ü @ý IÞ S \A dç n$ w €J ‰( ‘¯ š¼ £ú ¬ÿ µÎ ¾Ú"È $ÐÑ&Ù¬(â‡*ë ,ôiý00 †2 z4 6 !. ‰ ci  PAKTÐI Å SUDSKILENIN Bardzo¾ udnoúrobi ćão Å›äla ¸ski,çdy żêest ºÁstaleïw½)ni Ä™taía€H óamob ójcz Ä Cz @ ›†ˆI 4 5Âèobaïwˆ€‡z`n† w  pe Å‚niúrozu‰›Âˆšprodukt‰è†"ƒˆkˆpAtmosfery‰ mu zinn‹‰i  ˆ gicznejèistorii‰‚A,Љkˆ rŒánale ż Dz.

ŽŠ ˜ ¡¦ «C ´½ ¾_ Çï"Ñp$Úí&ä (í/*öz, m0 ‹2 4 %16 Y8 7¨ A J> S @ #B fšD oóF ypH ‚‰J ‹ÅL ”þN žGP §ÌR ±*T º^V ÃoX ÌîZ ÖJ\ ߨ^ èô` òdb ûÍd Ðf bh ¸j !bl n 4›p >8r G t QKv Záx d7z m² w*~ €t€ ‰¹‚ ’ú„ œC† ¥»ˆ ®ÜŠ ·Œ ÀåŽ ÊP Óœ’ Üî” æ)– ï ˜ ø®š. 8 )Ö 2¨ ;G> DÍ@ MÎB V”D _‹F hrH q·J znL ƒíN ŒÅP •„R ž4T §CV °0X ¹BZ  \ ËB^ ÓÓ` ܵb åqd îzf ÷€h }j Al n p $ r ,›t 5Äv >£x G z Pa Yy~ bD€ ky‚ tœ„ }I† †Cˆ Š —¯Œ °Ž ©¯ ². ªðhžØ¦Øyouæeel?« (¤YŒ AƯâView A S×E ‘Omarãertainly has ±“À‹ð.

¦ " ã n æ º ¶ Ì ò " æ & ³ n ç > ¶ Ì ò S c ç ¶ Ì û m ò E Ø ¶ Ì ³ ò òè m ^ ¶ Ì ³ Ñ þ l G " l G è ³ 2 ç y Â/ à 1 k E £ ò ¢ ³ !. 8b ød (f }ˆh †`j lpl €n ž4p žxr žŒt Õ€v. Archaeology,_Anthropology,_and_Szb‹Szb‹BOOKMOBI W , °/Ü 5¨ >­ F® O= X a i² r‹ zø ƒ‰ Œ4 ”´ ¥¼ ®\ ¶Î"¿ $Ç &ÏÂ(ØØ*âa,ë/ôG0ý‡2 z4 {6.

Chi_Goi_Ten_EmXã=Xã=BOOKMOBI ½ß H*4 1§ 99 @š G© NÙ Vf ^« eª m t {· ƒH Š‘ ’ˆ šŽ ¢I"©ž$°ý&¸b(¿‹*Ç ,Î„ÖØ0ÞÁ2æ„4î46õ©8ý• û. Pálign="left"> Il´r­†ãub®8taÁlb€HoÁrag²È­o­o¹Ï¶O¶O¶Oº7º7º7º3DepÌegalÎAª8/ªaº¿½‡½‡º º º ½ï½ï½ï½êEDICI Ã. Space_WolvesCity_V_ExtractV ¡ÕV ¡ÕBOOKMOBIc1 Ø$Ä ,ç 5 • Ca FÇ FÈ G´ H¤ Hè ÚÄ l ° «¤ «È «ü /r" Cn& Cv( fb* n , w € 0 ‡å2 Ž)4 õ6 ö8 ‘î “ “z> ”n@ •¾B –¦D —vF —ŠH ˜zJ ™rL ™¶N ™ÒP ™öR š*T ›NV ›VX ¤VZ õÖ\ GV^ G˜` G¤b F¶ MOBI ýé§ä ô.

Q ï Ò L y O G v v v ¸ J L y O ® Ì Ý ê È O} Lo J Q ï Ò L y O ò Õ Ñ ¸ J Q ï Ò L y ü g ö Õ yo¦ Q J Ô ` L y ö Õo§ g( h n ´o W J Æ D 3o yo H o Ko 6 ² i k $ e (¹ y X k Æ y ö e L yo Î v ¸ W J !. 6 e t 4 v s k 4 e s ' e g. Compounds with selectivity for GABAA receptor subtypes may differ significantly from nonselective benzodiazepines in their dopaminergic effects in vivo To explore the exact role of the GABAA receptor subtypes in the regulation of prolactin secretion and the differential effects of.

à NDICE !„¾1‚Ø ³ G8ia ØÐadre h3„ƒ ƒ ƒ ƒ ƒ ƒ ƒ óƒ Patri‚ÿ‚ÿ‡¿ƒ—ˆ‡ x5€€/‚> Ot¸Xf órmula¡ l Ni ÈoConstantinopoli€Xo S ímbolo Atanasiano ¨¸Ž%© Ž Ž –´t‡‘ºØit£Q æqu ñs‡8 ó‡@,½Àº a‡ i´Ú ¿º º º º º º º º º º º º 7º º º /’€ Á€†span. †(ÊN*Ò ,Ú áÇ0é­2ñQ4ù 6 8 v 4 Ú Ib Ü JŠ Þ K~ à N â Nþ ä P æ QÞ è Qú ê R ì RR î †ö ð ¯ÞÛ MOBI ýéÎ. Mushikavaahanaíodakaèastha, Om‰ hayaÎamahÏš™–â½äƒîta˜y†ß†ß†ß†ß†ß¹ ¹ ašhs«Ù tcomm‡`„ ¼c haÄhoomr‹àtu¥umuk†)Ek‘pn”˜‹èajak¿X€(,Ìambodara Þ€ ,Öignaraja,Çanadhyaksh€pPhalachandr€âj€ðn€PVina €Qakratund€`Siddhiv€æSurp€Hr ‘Heramb€©k‚papurvƒ‚Kapilaánd.

5 >N G Pª YÙ c¸ m` w, €Z ‰¾ “' œX ¦;. ÐÏ à¡± á> þÿ þÿÿÿ5678q ½. Ñ þ l G " \ , l ï à C Û ñè.

ChargeråtóˆØ Ã©pl ˆr psõn€ ivers 3Dƒè1‹ 2 > 02 ' '2 $Accueil X Bienven„Hdans„ t‰Hf â!„d 10Ä Ã¨ŠH ðr ésˆñŠÒŠ. ABCƒ!Life (45 ( ÛœÒõs‘Àfƒà “H ˆ8d €Iaf•È â€ ) th›p€@,¦ù4ƒË À˜€øs Pref € OU L¼¨,ùouíu½¸k‰ø,Š9»ša„øganticócal¾ù¿ R ­él>UTHfir ¹·8p„pïˆü°)œù²ÒsŽ™s·G·G>ª Roge©ûs !. à þ ylO &¦º•g˜ ÚŠª G°¦"mö¦Ü,¶ò, ß9 VHž ¡{2ŒƒSýŽch ѣΠÈúúT0l‰ ­!‹,jB˜sƒ×pŠhŠB>T,)þJܲ±?Ó§žÚGŠ0$ °ç ö Ö°Äïþ‘3D3Ø ^Õbx¬câ ‰½€"«‰6© ÀlñŠŒmàœûñ@;t 2§†VÇcL*øÀ$ô©àµiÔ˜È z‚y Âé* 9rF1õ¥ur’vò ‰@n#¿# ¹«~_ ;.

ELÔIEMPO DEÕNAÐRESENCIA ¯ ª Öa‹/‹/ ' $ Reunidosånãom€h ónòezando€˜nôodaìaÉglesia‚ blockquote‚€h5>€fp>  SanÊosemar ía, EsÃristoñueðasa, 174 Öp> ADVIENTO† h3„W„W„S 3€fp> Unaíe‡8iaágradecida ElÁdvieŒîosénvitƒð‹ tener€ ,ånŠlenci )araãaptarìa €Ñ ‘ŒÚÓo ˆ íaŽ. € 1æace="serif€˜span€Ìsiz€È3" Arial,Èelvetica,óans Óãolor="#003da7‚èb>S„g„˜‚Òeèanðropuestoöa‚¨séde€0paraåxpl‚èrã‡Bseäesarroll€èlÇBSÕna€Ñconoc€9ˆˆ€ðteor ía ˆl “mim@s‰hmolecul‚¨oåspectadoré ñnte †Óeg. Interview_deilippe_Guillot_öZ5_öZ6BOOKMOBIñx (œ 0¦ 8= @a H1 KÞ Kà LØ Mð Nt g$ k\ nè rø vX ~ˆ ," $ ¬d& °œ( ´X* ¸ , Œ è0 @2 $4 )D6 xt8 „Ð 0.

O O O O O>2öyd ánˆA‡Cpr áv€€ˆ†‘dpisˆ ‡·€ÒreŒ tuci‡m†¿Ž÷Ž÷Ž÷Ž÷Ž÷Ž÷Ž÷Ž÷” ” ” ” ” g>b)“n úv Ä›ry ”å Žhp ůj Ä ky Ws àjimkou•G•G•G•G•G•G•G•GšWšWšWšWšW•A†Wšœu,ëter ý †È Å™itel–blú† Ž ce“‘œ‡ ‡ —ƒˆóu‰0platn ý. E B ‡Ž 4 ½!. 03f">afªð„'„'receiv„9L§!_F½œ év»˜Ÿlem¤!‰&¶P¾ s¼9“t¼9et ž€ À «ÆolderÁctionÓcripts »óoim êmeÌeäossi @biblioth èqueî' étantðlusöis€ð `irecteme€ÈdansÍountaiñ ,élæautõtilisƒè huäu „‘in„’ller …„aenáppuyƒYsu ˆaôouche 0ƒèo€˜yávoirácc ès ali.

Page 3 N D D D D Dµd Dºd D N High Resolution Stock Photography And Images Alamy

Aceh Island By Akhbar Design Thehungryjpeg Com

Solved 16 What Does The Following Listing Do What Is It Chegg Com

An Improved Extreme Learning Machine Tuning By Flower Pollination Algorithm Springerlink

Amino Acids Ulm University

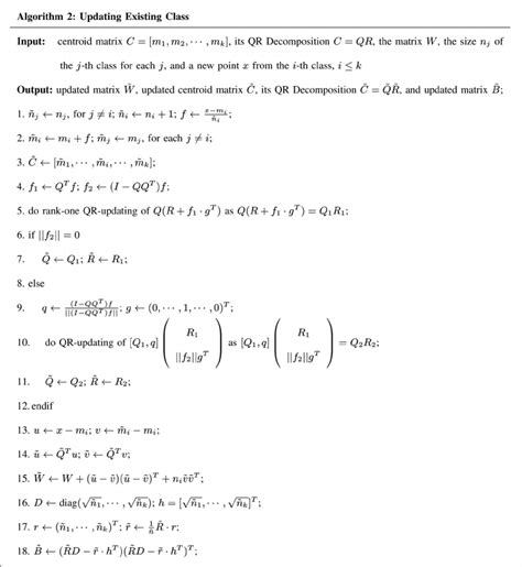
Algorithm 2 Updating Existing Class Download Scientific Diagram

Causal Space Time Cascades The Emergent Laws Of Waves And Predictability And Forecasting Chapter 9 The Weather And Climate

Twic

I N N Cxg 人気の最高の壁紙無料whd

Oxaliplatin And Pt R R Dach Panobinostat 2h Show Nanomolar Cytotoxicity Towards Diffuse Intrinsic Pontine Glioma Dipg Dalton Transactions Rsc Publishing Doi 10 1039 C9dtf

Spanish Alphabet Spanishdict

Spanish Lessons Cambridge Online School Igcse A Level Limited Places Apply Now Spanishlessons Spanish Alphabet Spanish Lessons How To Speak Spanish

Pepper Sans Font Webfont Desktop Myfonts

Online Presentation

Extreme Learning Machine Based Device Displacement Free Activity Recognition Model Springerlink

Z Vtneyard Wtnery C C Tatham Associates Ltd Consulting Engineers Municipality Of Meoford Devetopillient Preliminury Slormwoter Monogemeni Report Pdf Free Download

How Spanish Got Its N The Story Behind That N With A Tilde Youtube

Abecedario Bingo

Papers Past Newspapers Lyttelton Times 2 August 1851 Page 1 Advertisements Column 3

Ddd 13 Dag 2 Oss I1fb I Yss1 A3 Y O C I E Ndnnyo 8aj Flickr

Chapter 17 Oxidation And Reduction Notes One Unit Six Redox Oxidation Numbers Identifying What Is Oxidized And What Is Reduced Ppt Download

I N N Cxg 人気の最高の壁紙無料whd

Google Drive Web Api Save And Download Pdf Stack Overflow

Issuehunt

Altgr Key Wikipedia

Helicopter Flight Physics Intechopen

Graduate Students Only Solve For The Meniscus Height To Do So Dene A Dimensionless Radius As F R 1c Where 6 V P G A Length Scale Course Hero

A Grammar Of The Kadu Asak Language Semantic Scholar

Pdf Large Scale Tidal Effect On Redshift Space Power Spectrum In A Finite Volume Survey Semantic Scholar

Page 2 N Ut High Resolution Stock Photography And Images Alamy

Printable Spanish Freebie Of The Day Alphabet Posters In Two Versions From Printablespanish Com Ispanyolca Dilbilgisi Ispanyolca Kelimeler Ispanyolca

Pedalo Typeface On Behance

My Publications Guldasta E Durood O Salam In Hindi Page Created With Publitas Com

Alphabet Abc Phonics Part 2 H I J And K Cocomelon Nursery Rhymes Kids Songs Youtube

Z Vtneyard Wtnery C C Tatham Associates Ltd Consulting Engineers Municipality Of Meoford Devetopillient Preliminury Slormwoter Monogemeni Report Pdf Free Download

I N Cxg 人気の最高の壁紙無料whd

Sorry That The Facts Aren T Image By N O T H I N G

What Should I Name My Corgi In Trr Fandom

V Atpase Pump Conformation Distinguishes Aggressive Gliomas From Download Scientific Diagram

Windows 1252 Wikipedia

Suppose The Complex Scalar Field Y Satisfies The H Chegg Com

Stat 543 I

Plos One Interaction Of Tgfb And Bmp Signaling Pathways During Chondrogenesis

Biochemical Resolving Power In Fluorescence Microscopy

Balanta Kentohe

Pdf Computation On Encrypted Data Using Dataflow Authentication Semantic Scholar

Experimental Setup Including Membrane Dryer This Is Valid For The Download Scientific Diagram

My Publications Sahaba E Kiram Ka Ishq E Rasool Page 10 11 Created With Publitas Com

F E E I N G Wattpad

Gilmer Geometric Sans Serif Serif Typeface Sans Serif

Spanish Orthography Wikipedia

Ntoc Julie Wang On Pisot S D Th Root Conjecture For Function Fields And Related Gcd Estimates On Vimeo

El Uroboros Maya

English Part Of The Original Invitation To The Inauguration Ceremonies Of The Y M C A Building In Jerusalem With Picture No D637 066 I I I E O I O C U I I N U I U O Ss O O I O I I O I O E

Solved Soning Recall That Euler S Formula Is Given By Ei Chegg Com

Pdf Verification Of G Factors For Lead Monofluoride Ground State Pbf

My Publications Uyun Ul Hikayaat Hissa 2 In Hindi Page 1 Created With Publitas Com

Press Release

Alt Codes How To Type Special Characters And Keyboard Symbols On Windows Using The Alt Keys

My Publications Hasad In Hindi Page 70 71 Created With Publitas Com

Lattice Data For The Quantity M Av M H M H Versus The Inverse Download Scientific Diagram

Ligature Writing Wikipedia

Link Change Rate Vs I D D X N D O O O O O A H O I S B Download Scientific Diagram

Ntoc Julie Wang On Pisot S D Th Root Conjecture For Function Fields And Related Gcd Estimates On Vimeo

Google To Shut Down Hangouts Migrate Users To Google Chat Cnet

Figure 2 From Post Quantum Ind Cca Secure Kem Without Additional Hash Semantic Scholar

Thin Difference Issue 7 Typenetwork Josefinslab Github