勝利の最高の壁紙無料ABHD

Fzi Oby X

Solucionario Del Chrurchill Variable Compleja

Construction Of Analytic Function F Z Given Imaginary Part 1 By Easy Maths Easy Tricks Youtube

Z Varies Directly As X And Inversely As Y If Z 159 When X 8 And Y 6 Find Z If X 5 And Y 8 Wyzant Ask An Expert

Solucionario Del Chrurchill Variable Compleja

Solucionario Del Chrurchill Variable Compleja

Portafolio Mirai Figueroa Hiraki By Mirai Figueroa Hiraki Issuu

¹ x * ü 104 "41 "*/ 104 c ¤ ( x ¤ Ý 46# 104 c ¹ x * ü 104 w 2} û Ë 2 û û c Ó ó ï w 2 y Ë 2 û û ¹ x * ü 104 w 2} û ( r ¤ Ó ó d ¹ ¤ i á ¤ Ý ¤ $ k Ð ß ¤ â i ¤ Ý Ó ó ï w 2 y ( r s ü ´ & ¸ r l ¤ Ä ý ¤.

Fzi oby x. 7R%5)9 c \ Æ $Î#Õ 6 @ º8m ~ \ Æ b º Ð º#Õ#Ø >& # %4 , Û%4 ±7'%4 È å%4 l g& ¸%4>' _ > 8 Z 7R09 b70 >&7P D c7P \ v ç d >' º ¬ ' t%Ú M (Ô) b$Î#Õ b Ì @ 6 S T K.

Dsc 0219 I Im J Acy6 Oi Otoo1 J I Io Nda 4lz1 Ssm C Uj Flickr

Solucionario Del Chrurchill Variable Compleja

Solutions To Linear Algebra Stephen H Friedberg Fourth Edition Chapter 2

Fancy Letters ꭿ น ꭿ ℊ ℬ Copy And Paste Unicode Character Table

Solucionario Del Chrurchill Variable Compleja

Solucionarioecuacionesdiferencialesdenniszill7aedicion P

924a67 2 W U I3nvdgooie Ut Xbu Gy Ssw Ldkvgm U Flickr

Fabian Theis Happy That Transfer Vae A Generative Model To Predict Out Of Distribution Single Cell Perturbations Such As Drugs Or Disease Is Out In Oupbioinfo Led By Mohammadlotfol1 And Falexwolf We Formulate

Nonlocal Conditions For Differential Inclusions In The Space Of Functions Of Bounded Variations Topic Of Research Paper In Mathematics Download Scholarly Article Pdf And Read For Free On Cyberleninka Open Science

Z Wiktionary

Misc 16 If X Iy 3 U Iv Then Show That U X V Y

League Gothic The League Of Moveable Type

The Contours Of Lorentz Force In The Radial Direction F X The Lorentz Download Scientific Diagram

Ex 1 2 1 Class 12 Maths Show F X 1 X Is One One Onto Where R

Image Mathematics Wikipedia

Procedure To Derive A State Space Representation I µi Of A Model Download Scientific Diagram

Solucionario Del Chrurchill Variable Compleja

Solucionario Del Chrurchill Variable Compleja

Osa Theoretical Analysis Of Mode Conversion By Refractive Index Perturbation Based On A Single Tilted Slot On A Silicon Waveguide

Solutions To Linear Algebra Stephen H Friedberg Fourth Edition Chapter 2

Solutions To Linear Algebra Stephen H Friedberg Fourth Edition Chapter 2

Worked Example Evaluating Piecewise Functions Video Khan Academy

Ex 1 2 1 Class 12 Maths Show F X 1 X Is One One Onto Where R

Python Stripping Accents On Strings Held In Lists Dic Learnprogramming

Surface Integrals Of Scalar Functions

Lato Fonts Lato

Spanish Alphabet Spanishdict

Pdf Probability Audrey Wu Academia Edu

Solved The Temperature At A Point X Y Z Is Given By T Chegg Com

Luggage Retail Final4 Greek Alphabet Latin Script

Pdf On The Solutions Of The Equation X M Y M Z M 1 In A Finite Field

Passivity Based Control Of Rotational And Translational Timoshenko Arms Topic Of Research Paper In Mathematics Download Scholarly Article Pdf And Read For Free On Cyberleninka Open Science Hub

Pdf On A Class Of Functions In Finite Algebras

Discretization Based Algorithms For Generalized Semi Infinite And Bilevel Programs With Coupling Equality Constraints Springerlink

If X Iy 3 U Iv Then Prove That U X V Y 4 X 2 Y 2

Solucionario Del Chrurchill Variable Compleja

Solved 1 How Are The Parameters Of An Ols Model Estimated What Is Meant By Least Squares 2 You Know How To Calculate A P Value But How Do You I Course Hero

Pokhara Hotline National Daily Jestha 4 75 By Pokhara Hotline National Daily Issuu

Y Wikipedia

U X Y F 0 4 7 For Each Of The Following Functions Write As F Z Homeworklib

Latin Alphabet Wikipedia

A Delightful Site For Writers And Lovers Of Words And Language It Is All About The Number Zero Its Place In The History Philosophy And World Literatures We Have Heard Of Calling Someone A Total Zero As An Insult But What Does Zero Really Mean This

Solucionario Del Chrurchill Variable Compleja

A Lie Symmetry Classification Of A Nonlinear Fin Equation In Cylindrical Coordinates Topic Of Research Paper In Mathematics Download Scholarly Article Pdf And Read For Free On Cyberleninka Open Science Hub

How Do You Find The Equations Of The Tangent Lines To The Curve Y X 1 X 1 That Are Parallel To The Line X 2y 2 Socratic

Thorn Letter Wikipedia

Misc 16 If X Iy 3 U Iv Then Show That U X V Y

ダウンロード Ara E Pe 良い最高の壁紙無料thd

A Beturend Sutori

The Mesh Points Generated By The New Method For The Function U X Y Z Download Scientific Diagram

Kello Typeface By Andras Berecz Custom Fonts Typeface Fonts

Worked Example Differentiating Related Functions Video Khan Academy

Multiplicative Isometries On F Algebras Of Holomorphic Functions Topic Of Research Paper In Mathematics Download Scholarly Article Pdf And Read For Free On Cyberleninka Open Science Hub

Solucionario Del Chrurchill Variable Compleja

List Of Unicode Characters Wikipedia

Solucionario Del Chrurchill Variable Compleja

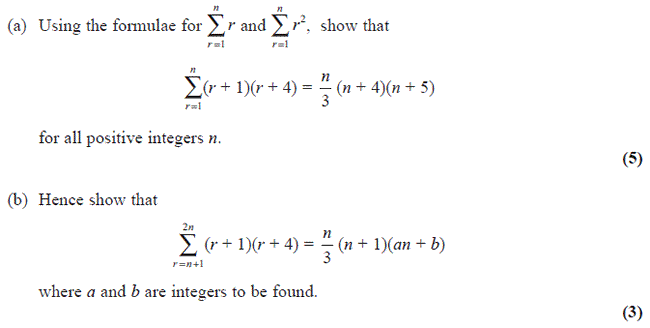
Edexcel Core Mathematics Fp1 June 15 Worksheets Examples Solutions Videos Activities

Solved Xyz 4 Consider The Scalar Field U I U X Y Chegg Com

Osa Theoretical Analysis Of Mode Conversion By Refractive Index Perturbation Based On A Single Tilted Slot On A Silicon Waveguide